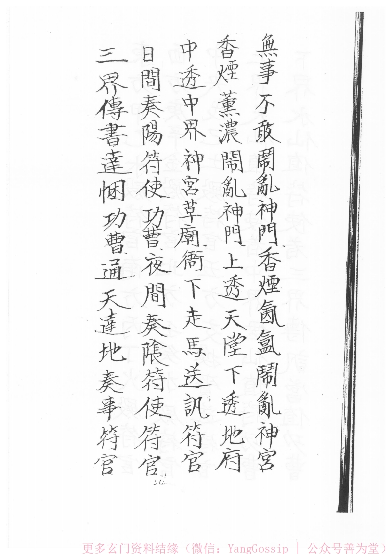
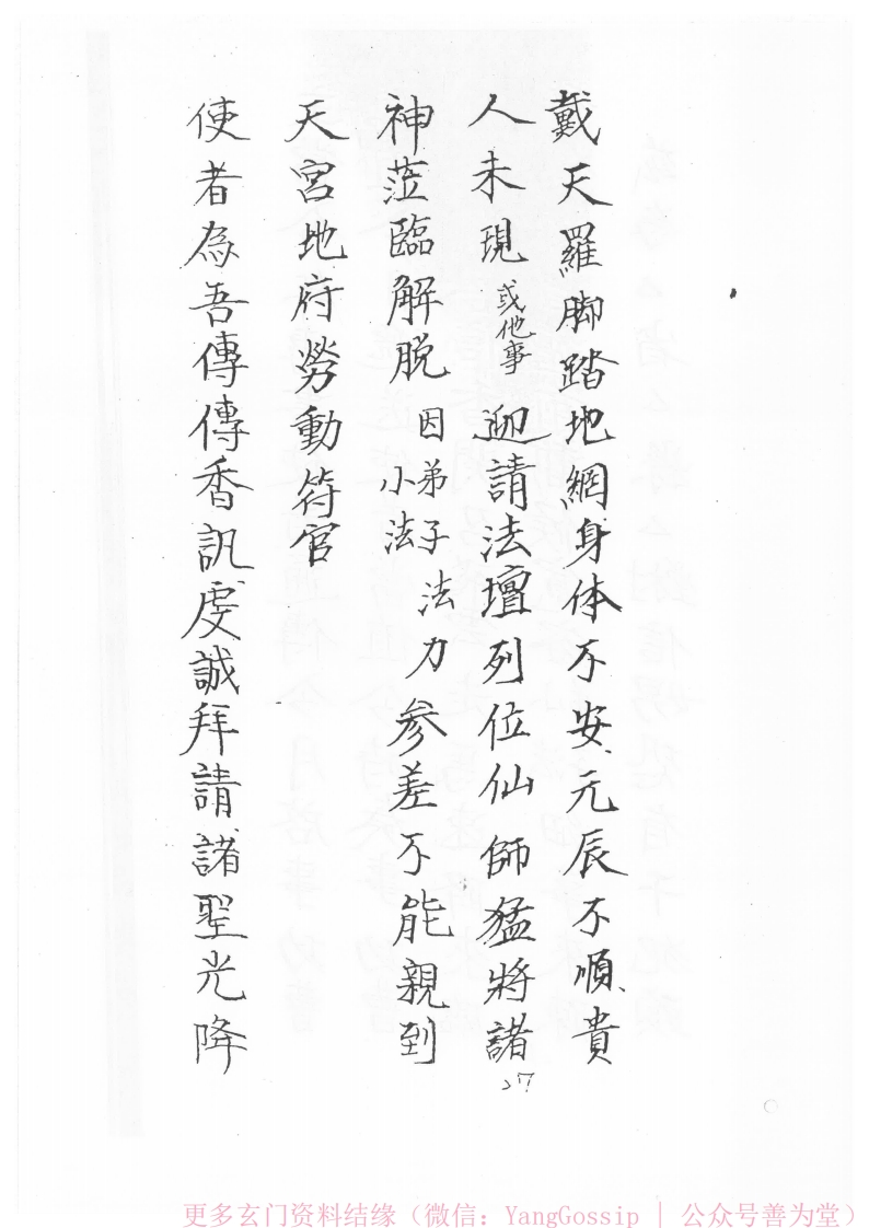
闾山龙玄门神霄开天罗地网消灾科仪 – 电子书下载 中医针灸 0 4 月 03, 2026 0 py163 第1页 / 共47页 第2页 / 共47页 第3页 / 共47页 第4页 / 共47页 第5页 / 共47页 第6页 / 共47页 第7页 / 共47页 第8页 / 共47页 试读已结束,还剩39页,您可下载完整版后进行离线阅读 电子书下载 打赏赞微海报分享
评论