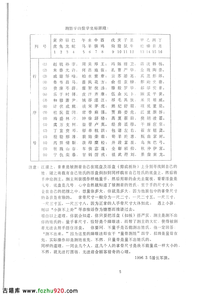
潘长军-量骨测姓名 – 电子书下载 五术专题 0 4 月 06, 2026 0 py163 第1页 / 共22页 第2页 / 共22页 第3页 / 共22页 第4页 / 共22页 第5页 / 共22页 第6页 / 共22页 第7页 / 共22页 第8页 / 共22页 试读已结束,还剩14页,您可下载完整版后进行离线阅读 电子书下载 打赏赞微海报分享
评论